韦达定理是一元二次方程的重要定理之一具体表述如下定义对于一元二次方程 $AX^2 + BX + C = 0$韦达定理,若其两个根为 $X_1$ 和 $X_2$,则有根的和$X_1 + X_2 = fracBA$根的积$X_1 times X_2 = fracCA$韦达定理的应用求解方程根的和与积直接利用韦达定理;一元三次方程韦达定理是设三次方程为ax^3+bx^2+cx+d=0三个根分别为x1,x2,x3,则方程又可表示为axx1xx2xx3=0即ax^3ax1+x2+x3x^2+ax1*x2+x2*x3+x3*x1ax1*x2*x3=0对比原方程ax^3+bx^2+cx+d=0,可知x1+x2+x3=bax1*x2+x2*。

韦达定理介绍 1韦达定理又称作角平分线定理,是解析几何中非常重要的定理之一,它极大地简化了一些几何问题的求解过程2韦达定理的内容是如果在三角形ABC中,一个内角的两条角平分线相交于内心I,那么 连接内心I和三个顶点ABC的线段上的长度满足以下关系 AIBICI = abc 其中;韦达定理是数学中揭示了一元n次方程中根与系数之间紧密联系的重要定理以下是关于韦达定理的详细解释1 定义与核心关系 韦达定理由16世纪的法国数学家韦达首次发现,它表明在一元n次方程中,方程的根与其系数之间存在特定的关系 对于一元二次方程aX2+bX+C=0,韦达定理指出根X1和X2的和等于b;非对称韦达定理是指利用韦达定理求解的一种题型韦达定理在求根的对称函数,讨论一元二次方程根的符号,解对称方程组,以及解一些与圆锥曲线相关的问题时“对称型韦达定理”题型可以理解为可以刚好利用韦达定理的式子整体代入,进而转化,化简求解“非对称型韦达定理”题型可以理解为不可以直接利用韦达。
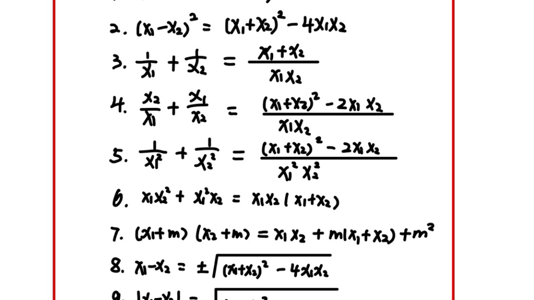
韦达定理是关于一元二次方程根与系数关系的定理韦达定理指出,对于任何一元二次方程ax#178+bx+c=0,它的两个根α和β满足以下关系根与系数的关系1 根的和α + β = ba2 根的积αβ = ca3 根的平方和公式=#1782αβa#178 =a#178这个;韦达定理是一元二次方程的重要定理,用于描述方程的两个解之间的关系具体来说定义对于形式为 $ax^2 + bx + c = 0$ 的一元二次方程,若它有两个解 $x_1$ 和 $x_2$,韦达定理描述了这两个解与方程系数之间的关系两根之和两根的和等于一次项系数除以二次项系数所得商的相反数;韦达定理是一元二次方程的根与系数关系定理具体来说定义对于形如 ax^2+bx+c=0 的一元二次方程,其两个根分别为 x1 和 x2韦达定理揭示了这两个根与方程的系数 abc 之间的关系根与系数的关系两个根的和x1 + x2 = ba两个根的乘积x1 * x2 = ca这个定理在。
韦达定理它是一个关于一元二次方程根与系数之间关系的定理韦达定理具体指的是,对于任何一元二次方程ax#178+bx+c=0,它的两根x#8321和x#8322的和等于方程的一次项系数除以二次项系数的相反数,而其乘积则等于常数项c除以二次项系数a也就是说,韦达定理揭示了二次方程的根的和与;韦达定理的三个公式为1 对于一元二次方程axsup2+bx+c=0 ane0,若其两个根为x#8321和x#8322,则x#8321+x#8322=ba2 一元二次方程axsup2+bx+c=0 ane0的两个根x#8321和x#8322的积为x#8321x#8322=ca3 一元二次方程ax;韦达定理的7个公式为1 根系关系公式如果一元二次方程ax#178+bx+c=0的根为α和β,那么α+β=ba,αβ=ca2 根与系数的关系公式对于任意一元二次方程ax#178+bx+c=0,有α^3 + β^3 = ^3 3αβ = b^3a^3等还有其韦达定理他关于根的和与积的公式3 根。
n次方程韦达定理,也称为一元n次方程的根的判别式,是数学中的一个重要定理让我们定义一元n次方程的一般形式ax^n+ bx^n1+cx^n2++z=0,其中abcz为实数,且a不为0在一元n次方程中,当n为奇数时,韦达定理描述了方程的根与方程的系数之间的关系具体来;韦达定理公式是ax的平方加bx加c韦达定理说明了一元二次方程中根和系数之间的关系,法国数学家弗朗索瓦韦达于1615年在著作论方程的识别与订正中建立了方程根与系数的关系,提出了这条定理由于韦达最早发现代数方程的根与系数之间有这种关系,人们把这个关系称为韦达定理韦达定理的内容 一元二次方程的。
这也就是一元二次方程两根之和,X1加X22根之间,XD乘X2和系数ABC的关系两根之间,XD乘X2和系数ABC的关系当然,一元二次方程有根的条件必须满足判别式等B方减CC大于当兵, 这也是伟达定理必须要满足的条件 , 那韦达定理存在的理论依据是什么呢 很简单,求根公式都知道吧 ,即一元二次方;韦达定理是一元二次方程中根和系数之间关系的定理以下是关于韦达定理的详细解释一定义 韦达定理,也称为韦达关系式,是法国数学家弗朗索瓦·韦达在著作论方程的识别与订正中提出的它揭示了一元二次方程的两个根与该方程的系数之间的具体关系二内容 对于一元二次方程 $ax^2 + bx +;韦达是16世纪法国最有影响力的数学家之一他首先引入了系统代数符号,并改进了方程论韦达致力于数学研究,系统地使用字母表示已知数未知数及其幂次,显著推进了代数理论的发展他发现了方程根与系数之间的关系,这就是著名的韦达定理韦达用“分析”这个词来概括当时的代数内容和方法,他大量创设代数;一元三次方程韦达定理是设三次方程为ax^3+bx^2+cx+d=0 三个根分别为x1,x2,x3,则方程又可表示为axx1xx2xx3=0 即ax^3ax1+x2+x3x^2+ax1*x2+x2*x3+x3*x1ax1*x2*x3=0 对比原方程ax^3+bx^2+cx+d=0 可知 x1+x2+x3=ba x1*x2+x2*x3+。

相关标签 :
上一篇: 新视野大学英语2,新视野大学英语2电子版
microsoft.netframework是什么,microsoft net framework在哪里
文件夹exe病毒专杀,电脑文件夹exe病毒专杀
ipad24.3.5越狱,ipad935为什么升不了级
网购火车票软件,购火车票的app
微信医疗(登记+咨询+回访)预约管理系统 联系电话:18300931024
在线QQ客服:616139763
官方微信:18300931024
官方邮箱: 616139763@qq.com