用企业管理器创建数据库JW0831数据库课程设计案例,将KCSJ数据库中的五个表导入该数据库中打开所有任务 导入数据源 选择KSCJ 数据库 下一步 再选择jw0831数据库 选择所有 确定 就可以将KCSJ数据库中的五个表导入该数据库中 简单的结构化查询1查询学生的详细记录 select*from 学生2查询学生表中前两个班级班级名称。

借阅管理可以显示当前数据库中书籍借阅情况,可以对借阅信息进行维护本系统主要解决的问题是利用关键字对数据库进行查询其系统的功能模块图如下图21 系统功能模块图 针对一般图书管理信息系统的需求,通过对图书管理工作过程的内容和数据流程分析,设计如下面所示的数据项读者信息 属性读者学号。
本课程设计要采用本课程中学习的数据库设计方法,运用其基本思路与主要图表工具完成“企业报刊订阅管理系统”数据库应用系统完成信息需求分析与数据库的概念设计逻辑设计物理设计以及处理功能设计,用SQL Sever的数据库管理系统JSP开发工具实现该系统,并运行评价改进之在此基础上严格按课程设计教学大纲所附报告。

设计一个家庭理财管理系统,对家庭的各项经济活动要基本的查询,输入,插入,删除信息的功能,所建立的数据库能与程序成功链接,设计出人性化较好的界面,用户能清楚地知道各部分的功能要求多窗体界面20个以上 数据库中建表712个 使用菜单数组非控件数组文件操作图形操作等知识点能。
选用SQLSERVER数据库管理系统软件本次课程设计不要求进行应用程序开发,只要求完成数据库的设计和实现课程设计报告应包含的基本内容1数据流图设计至少1个关键业务功能的多层数 选用SQL SERVER数据库管理系统软件本次课程设计不要求进行应用程序开发,只要求完成数据库的设计和实现课程设计报告应包含的基本内容。
数据库设计的基本步骤是需求分析,概念结构设计,逻辑结构设计,物理结构设计,数据库实施,数据库运行和维护数据库课程设计案例我不知道你说的课程设计具体指什么意思数据库课程设计案例我就写个大体做法吧首先,做一个需求分析调查清楚用户的实际要求,分析与表达这些要求也就是,你要去数据库课程设计案例了解该公司的成员希望你所做的数据库提供哪些支持功能数据流图表达数。
本汽车销售信息管理系统是为满足在校学生课程设计的需要,开发的一个基于JAVA技术的销售信息管理系统,功能包括客户信息管理模块销售信息管理模块售后服务信息管理模块市场策略公告模块统计报表管理模块,模块包括信息的添加删除修改等功能本课程设计报告,对整个系统及其内部的各个功能模块的构想。
可视化设计数据可视化可视化设计与开发行业应用大数据应用开发智能数据分析基础作用将数据转化为可交互的决策支持工具,例如Tableau制作仪表盘,D3js实现动态图表典型案例四川科技职业学院数据可视化课程,使用ECharts库开发报表深圳职业技术学院网页设计与制作技术课程,构建数据展示。
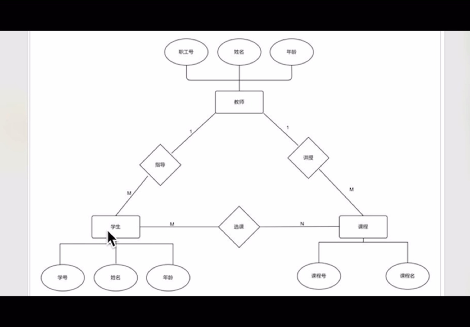
2具体要求如下1在小组内进行分工,进行系统调查,搜集资料2系统的需求分析根据自己的选题,确定系统的功能需求,性能需求,绘制的DFD,DD图表以及书写相关的文字说明3概念结构设计绘制所选课题详细的ER图要求使用PD建模工具4逻辑结构设计将ER图转换数据库的逻辑。
求一份课程课程设计 发送到我的邮箱sjchenmiaomiao@163com 5 一个运行良好的小型数据库应用系统和一个规范的课程设计说明书一数据库系统要求应用数据库设计的基本方法和基本技术,以SQLServer为后台数据库,每人完成一个小型数据库应用系统 一个运行良好的小型数据库应用系统和一个规范的课程设计说明书。
吉首大学张家界学院数据库系统概念课程设计题目学号学生姓名院系专业指导教师二O一六年月日学生选课系统的设计一绪论11目的和意义银行管理系统该系统要求建立的用户表并不是很多,完成的功能也相对有限,但其中各个表之间的联系很紧密,该系统对数据库表的设计要求会很高,所以完成这个题目,能更好。
做一个新的网页,实现以下功能 同时连接sql数据库和access数据库 用sql语句直接读出access的数据,然后写入sql2000就可以了写完以后把以前连接access的驱动改成sql2000就可了 连接sql的驱动这样写driver=quotProvider=SQLOLEDB1 Persist Security Info=True Data Source= Initial Catalog=数据。
设计内容及要求主要利用c语言的文件操作能力设计开发一个小型的管理信息系统,至少具有如下功能图书入库,按书名出版社价格作者进行查询和分类统计操作界面要符合用户的一般习惯,图形或文本界面都可以设计参数图书信息包括登录号书名作者名分类号出版单位出版时间价格等试设计一图书。
内容安排基础篇介绍g2plot的基本用法,包括如何导入数据创建图表配置样式等基础操作实战篇通过实战案例,让学习者在实践中巩固所学知识,提升解决实际问题的能力高级篇深入探讨g2plot的高级功能,如自定义图表交互功能等,以及如何实现Docker部署等三课程设计亮点 图表分类界面设计一。
2ID卡是身份识别卡,卡中只存放一条帐号信息,每次与应用终端交互都需要与数据库交互,此类卡的应用终端必须实时联网,写校园一卡通设计的话推荐此种卡片数据库建一组相互关联的表,使得能存放完整的人员信息,人员信息主要字段自少包括姓名学号班级信息卡号账户金额消费金额消费各种。
相关标签 :
上一篇: pub.alimama.com的简单介绍
microsoft.netframework是什么,microsoft net framework在哪里
文件夹exe病毒专杀,电脑文件夹exe病毒专杀
ipad24.3.5越狱,ipad935为什么升不了级
网购火车票软件,购火车票的app
微信医疗(登记+咨询+回访)预约管理系统 联系电话:18300931024
在线QQ客服:616139763
官方微信:18300931024
官方邮箱: 616139763@qq.com